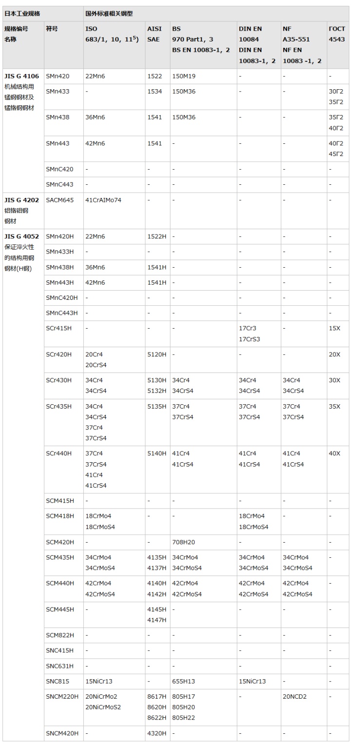
**部分:〖有关机械结构碳素钢、合金钢〗
〔技术参数〕有关材料的JIS和相关国外标准的比较表(1) | 技术之窗?www.misumi.com.cn
ISO:International Organization for Standardization(国际标准化机构)
AISI:American Iron and Steel Institute(美国铁钢协会)
SAE:Society of Automotive Engineers(汽车技术者协会)
BS:British Standards(英国规格)
DIN:Deutsches Institut für Nörmung(德国规格协会)
EN:European Standards(欧洲标准化委员会)
NF:Norme Francaise(法国**规格)
ΓOCT:原苏联**规格
注1) BS EN 10259
2) DIN 1654 Part 4
3) DIN 17240
4) NF EN 10259
5) ISO683-1,10,11翻译后为JIS G 7501,G 7502,G 7503,由JIS发行。
工具钢的名称
-
一般结构用压延钢
SS400???????Steel(钢)·Structure·400N/mm2 -
机械结构用碳素钢
S45C????????Steel·0.45%C -
铬钼钢
SCM435?????Steel·Cr·Mo 435 -
镍铬钼钢
SNCM220???Steel·Ni·Cr·Mo 220 -
碳素工具钢
SK105???????Steel·工具·105种
(旧SK3) -
合金工具钢
SKS3????????Steel·工具·Special·3种 -
〃
SKD11??????Steel·工具·Dies·11种 -
高速工具钢
SKH51??????Steel·工具·High Speed·51种 -
高碳素铬轴承钢
SUJ2????????Steel·Use·轴承·2种 -
不锈钢
SUS304?????Steel·Use·Stainless·304种 -
灰口铸铁
FC250???????Ferrum(铁)·Cast·250N/mm2
第二部分:〖有关不锈钢、耐热钢〗
〔产品数据〕有关材料的JIS和相关国外标准的比较表(2) 有关不锈钢、耐热钢?www.misumi.com.cn
备注1.ISO根据ISO TR15510:1997。记号和EN显示相同。但是,(1)为根据ISO4954、(2)为根据683·15。
2.美国规格为参照UNS登录编号和AISI钢材手册。
3.欧洲规格根据EN10088-1:1995。
4.欧洲各国参照BS、DIN、NF等。但根据EN规定,各国规格将废除。
5.「OCT根据5632。
有关工具钢




QQ客服